-
[ Tree ] 98. Validate Binary Search Tree리트코드(Leetcode) 2023. 6. 26. 12:34728x90
1. 문제
https://leetcode.com/problems/validate-binary-search-tree/
Validate Binary Search Tree - LeetCode
Can you solve this real interview question? Validate Binary Search Tree - Given the root of a binary tree, determine if it is a valid binary search tree (BST). A valid BST is defined as follows: * The left subtree of a node contains only nodes with keys le
leetcode.com
Given the root of a binary tree, determine if it is a valid binary search tree (BST).
주어진 이진트리가 유효한 이진탐색트리인지 결정하라. 유효한 BST는 다음과 같다.A valid BST is defined as follows:
- The left of a node contains only nodes with keys less than the node's key. = 왼쪽자식의 값은 root의 값보다 항상 작다
- subtree = 하위트리가 있다
- The right subtree of a node contains only nodes with keys greater than the node's key. = 오른쪽자식의 값은 root의 값보다 항상 크다
- Both the left and right subtrees must also be binary search trees. 자식들의 하위 트리도 반드시 BST이어야 한다
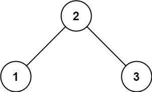
Example 1:

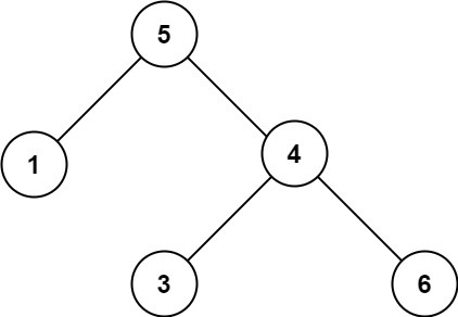
Input: root = [2,1,3] Output: trueExample 2:

Input: root = [5,1,4,null,null,3,6] Output: false Explanation: The root node's value is 5 but its right child's value is 4.Constraints:
- The number of nodes in the tree is in the range [1, 104].
- 231 <= Node.val <= 231 - 1
2. 풀이
- 함무라비법전 버전
- runtime : 23ms
- beats : 5.74%
- memory : 44.2MB
- beats : 15.93%
/** * Definition for a binary tree node. * public class TreeNode { * int val; * TreeNode left; * TreeNode right; * TreeNode() {} * TreeNode(int val) { this.val = val; } * TreeNode(int val, TreeNode left, TreeNode right) { * this.val = val; * this.left = left; * this.right = right; * } * } */ class Solution { public boolean isValidBST(TreeNode root) { if(root == null){ return true; } // boolean 변수 만들어서 boolean left = true; if(root.left != null && root.left.val >= root.val){ left = false; } boolean right = true; if(root.right != null && root.right.val <= root.val){ right = false; } // 오른쪽 자식의 왼쪽 자식 / 없으면 null TreeNode tempL = root.right != null ? root.right.left : null; while(tempL != null){ // root node의 값이 오-왼 자식의 값과 같거나 크면 false if(root.val >= tempL.val){ return false; } tempL = tempL.left; } // 왼쪽 자식의 오른쪽 자식 / 없으면 null TreeNode tempR = root.left != null ? root.left.right : null; while(tempR != null){ // root node의 값이 왼-오 자식의 값과 같거나 작으면 false if(root.val <= tempR.val){ return false; } tempR = tempR.right; } // boolean이 둘 다 true일 때 다음 자식 node들로 재귀 시작 if(left && right){ return isValidBST(root.left) && isValidBST(root.right); }else{ return false; } } }- 풀이 2 - 함수 따로 작성 → runtime은 23에서 0으로 줄었지만 메모리 사용은 상승. 그치만 runtime 0 된 게 큰 장점 같음
- runtime : 0ms
- beats : 100%
- memory : 44.4MB
- beats : 9.2%
class Solution { public boolean isValidBST(TreeNode root) { return BST(root, Long.MIN_VALUE, Long.MAX_VALUE); // Long 클래스가 갖는 최소값&최대값부터 시작 } private boolean BST (TreeNode node, Long min, Long max){ if(node == null){ return true; } if(node.val <= min || node.val >= max){ // 여기서 걸리면 false고 넘어가면 재귀 시작 return false; } if(BST(node.left, min, (long) node.val) && BST(node.right, (long) node.val, max)){ return true; } return false; } }728x90'리트코드(Leetcode)' 카테고리의 다른 글
[ Tree ] 104. Maximum Depth of Binary Tree (JAVA) (0) 2023.06.26 [ Tree ] 226. Invert Binary Tree (Java) (0) 2023.06.19 [ LinkedList ] 876. Middle of the Linked List (JAVA) (0) 2023.06.08 [ Linked-List ] 1290. Convert Binary Number in a Linked List to Integer - JAVA (0) 2023.06.07 [ Binary ] JAVA | 371. Sum of Two Integers (Medium) (0) 2023.05.26