-
[ Tree ] 104. Maximum Depth of Binary Tree (JAVA)리트코드(Leetcode) 2023. 6. 26. 11:24728x90
104번 문제
https://leetcode.com/problems/maximum-depth-of-binary-tree/Maximum Depth of Binary Tree - LeetCode
Can you solve this real interview question? Maximum Depth of Binary Tree - Given the root of a binary tree, return its maximum depth. A binary tree's maximum depth is the number of nodes along the longest path from the root node down to the farthest leaf
leetcode.com
1. 문제
Given the root of a binary tree, return its maximum depth.
주어진 이진트리의 최대 깊이를 반환하라A binary tree's maximum depth is the number of nodes along the longest path from the root node down to the farthest leaf node.
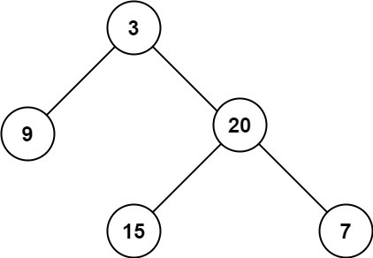
최대 깊이란 뿌리 노드에서 가장 먼 노드로 쭉 따라 내려갈 때 가장 긴 길이를 말한다.Example 1:

Input: root = [3,9,20,null,null,15,7] Output: 3Example 2:
Input: root = [1,null,2] Output: 2Constraints:
- The number of nodes in the tree is in the range [0, 104].
- 100 <= Node.val <= 100
2. 풀이
- runtime : 0ms
- beats : 100%
- memory : 41.8MB
- beats : 72.61%
/** * Definition for a binary tree node. * public class TreeNode { * int val; * TreeNode left; * TreeNode right; * TreeNode() {} * TreeNode(int val) { this.val = val; } * TreeNode(int val, TreeNode left, TreeNode right) { * this.val = val; * this.left = left; * this.right = right; * } * } */ class Solution { public int maxDepth(TreeNode root) { if(root == null){ return 0; } // 양쪽 자식의 깊이를 담을 변수 하나씩 생성 int leftDepth = 1; int rightDepth = 1; if(root.left != null){ leftDepth += maxDepth(root.left); } if(root.right != null){ rightDepth += maxDepth(root.right); } // 왼쪽, 오른쪽 중 숫자가 더 많은 쪽이 더 깊은 쪽이므로 큰 쪽을 반환 return leftDepth > rightDepth ? leftDepth : rightDepth; } }→ root가 null인 경우는 depth란게 없으니 0을 바로 반환하며 끝내기
→ root의 각 자식들을 타고 내려가기 위해 왼쪽/오른쪽 깊이를 담을 변수 생성하고 root가 null이 아니기 때문에 depth 1씩 일단 갖고 시작
→ 자식이 null이 아닐 때까지 자식 node로 쭈우우욱 타고 내려가며 1씩 반환
→ 마지막에 leftDepth와 rightDepth 중 더 숫자가 큰 쪽이 더 깊고 멀기 때문에 해당 값을 반환이렇게 풀었을 때 런타임은 0ms이었지만 메모리 관리는 적당하지 않았고
코드 자체도 조금 함무라비법전 같은 식이어서 맘에 들지 않았다
그래서 스터디원이 푼 코드를 봤는데 Math 클래스를 활용하여 훨씬 간단하게 풀이하였다.class Solution { public int maxDepth(TreeNode root) { if(root==null){ return 0; } return Math.max(maxDepth(root.left),maxDepth(root.right))+1; } }→ 이렇게 Math 클래스의 max() 함수를 활용하여 두 값을 비교하여 바로 반환하는 한 줄로 끝낼 수 있다.
나도 이렇게 코드를 정리할 수 있는 능력을 길러보자!
화이팅!!!!728x90'리트코드(Leetcode)' 카테고리의 다른 글
[ Tree ] 98. Validate Binary Search Tree (0) 2023.06.26 [ Tree ] 226. Invert Binary Tree (Java) (0) 2023.06.19 [ LinkedList ] 876. Middle of the Linked List (JAVA) (0) 2023.06.08 [ Linked-List ] 1290. Convert Binary Number in a Linked List to Integer - JAVA (0) 2023.06.07 [ Binary ] JAVA | 371. Sum of Two Integers (Medium) (0) 2023.05.26