-
[ Tree ] 226. Invert Binary Tree (Java)리트코드(Leetcode) 2023. 6. 19. 17:25728x90
1. 문제
Given the root of a binary tree, invert the tree, and return its root.
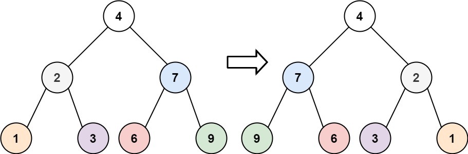
이진 트리인 root가 주어지고 해당 트리의 순서를 뒤집어 반환하라Example 1:

Input: root = [4,2,7,1,3,6,9] Output: [4,7,2,9,6,3,1]Example 2:

Input: root = [2,1,3] Output: [2,3,1]Example 3:
Input: root = [] Output: []Constraints:
- The number of nodes in the tree is in the range [0, 100].
- 100 <= Node.val <= 100
2. 내 풀이
/** * Definition for a binary tree node. * public class TreeNode { * int val; * TreeNode left; * TreeNode right; * TreeNode() {} * TreeNode(int val) { this.val = val; } * TreeNode(int val, TreeNode left, TreeNode right) { * this.val = val; * this.left = left; * this.right = right; * } * } */ class Solution { public TreeNode invertTree(TreeNode root) { if(root == null){ return null; } TreeNode temp = root.left; if(root.right != null){ root.left = invertTree(root.right); }else{ root.left = null; } if(temp != null){ root.right = invertTree(temp); }else{ root.right = null; } temp = null; // 이 부분을 썼을 때, 안 썼을 때의 차이가 return root; } }root의 좌우가 null인 것은 제일 아래 node이기 때문에 더 이상 연산을 할 필요가 없으므로
if 문의 조건을 null이 아닌 경우로 걸어서 진행이 되도록 한다.
이 사진처럼 자식이 하나만 있는 root도 있고
그 자식이 right에 위치한 것인지
left에 위치한 것인지 알지 못하기 때문에
else를 걸어서 null일 땐 null로 두도록 세팅해 준다.그러고 나서 재귀용법을 사용하여 제일 아래 node까지 타고 타고 내려갈 수 있게 해 준다.
마지막에 temp 트리노드를 null처리를 했을 때와 아닐 때의 메모리 사용량이 꽤나 차이가 났다.
null로 만들기 전에는
- runtime : 0ms
- beats : 100%
- memory : 40.3MB
- beats : 52.23%
이렇고
null로 만든 후에는 아래와 같다.
- runtime : 0ms
- beats : 100%
- memory : 39.9MB
- beats : 92.67%
변수를 null로 만들어두면 나중에 가비지 컬렉터가 먹어치우기 때문에
메모리 사용량을 조금이나마 줄일 수 있다고 배웠다.이제까지 문제 푼 것들이 연습이 된 것인지
아니면 트리 문제가 유독 나한텐 쉬웠던 것인지는 모르겠으나
이번 문제는 10분 만에 풀었다 키키키submit도 2번 만에 Accepted 됐다!!
와씨 너무 신난다!!!!!!728x90'리트코드(Leetcode)' 카테고리의 다른 글
[ Tree ] 98. Validate Binary Search Tree (0) 2023.06.26 [ Tree ] 104. Maximum Depth of Binary Tree (JAVA) (0) 2023.06.26 [ LinkedList ] 876. Middle of the Linked List (JAVA) (0) 2023.06.08 [ Linked-List ] 1290. Convert Binary Number in a Linked List to Integer - JAVA (0) 2023.06.07 [ Binary ] JAVA | 371. Sum of Two Integers (Medium) (0) 2023.05.26